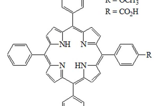
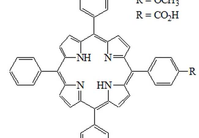
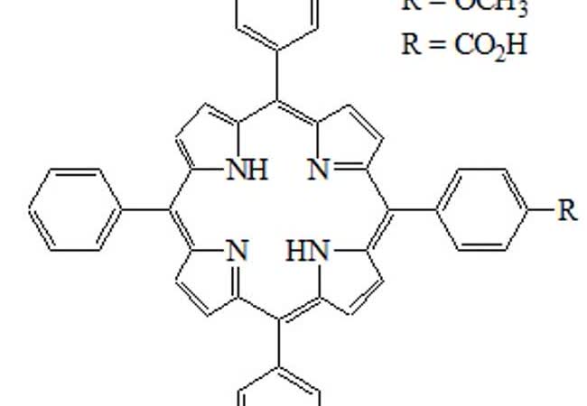
การสังเคราะห์พอร์ไฟรินที่มีหมู่แทนที่แบบไม่สมมาตร เจ้าของผลงาน : จันทิมา สุขจันทร์ คำสำคัญ : พอร์ไฟริน, การสังเคราะห์, อสมมาตร วันที่เผยแพร่ : 25 กันยายน 2558