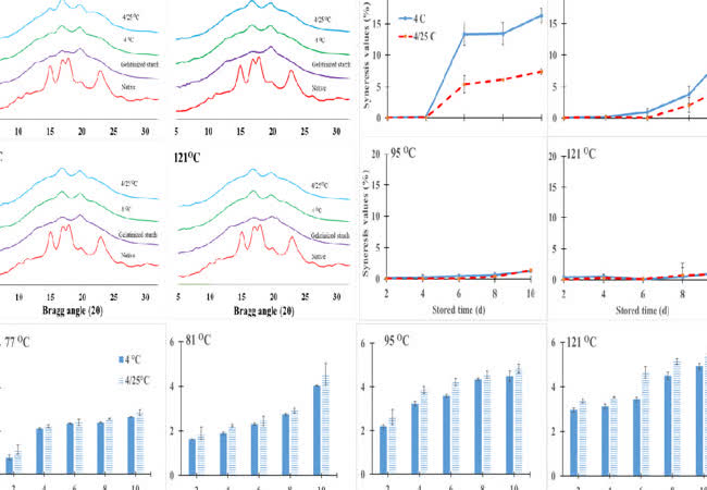
Retrogradation and Digestibility of Rice Starch Gels with Different Degree of Gelatinization, Storage Condition and Storage Time. เจ้าของผลงาน : Naree Denchai คำสำคัญ : retrogradation, resistant starch, rice starch, gelatinization วันที่เผยแพร่ : 15 กุมภาพันธ์ 2561